На днях правительство Астраханской области наконец-то утвердило программу «Переселение из аварийного жилищного фонда в 2019-2024 годах». В конце материала мы опубликуем полный список домов, чьи жильцы в течение пяти лет будут праздновать новоселье.
Цифры
На всю программу потратят 1,53 млрд рублей. Из них львиная доля - 1,48 млрд (97%) - будет выделено Фондом содействия реформированию ЖКХ. На эти полтора миллиарда астраханцам предоставят почти 44 тыс. «квадратов» благоустроенного жилья и, соответственно, ровно столько же снесут «гнилушек». Причём речь идёт как о тех гражданах, кто ютится в муниципальном жилье, так и о собственниках помещений.В абсолютных цифрах программа выглядит следующим образом:
- Число жителей, планируемых к расселению, - 2885 чел.
- Количество квартир (не домов!) - 1240,
- из них в собственности граждан - 767,
- в муниципальном фонде - 473.
- Это 180 домов.
- В 2019 году расселят только 72 квартиры.
- Это 39 жилых помещений в Астрахани и 33 - в Ахтубинске.
- В общей сложности новые квартиры в 2019 году получат 120 человек.

И снова о нюансах
Тут, правда, есть одна интересная «хитрость». Хотя программа рассчитана до 2024 года, фактически она будет действовать до 2025-го. В табличках есть такое понятие, как «расселение по этапу 20хх года». То есть если дом попадает, допустим, под ликвидацию в 2019 году, то это не обязательно означает, что квартиру дадут именно в этом году: часть жилья «перетекает» в 2020-й. Проще говоря, учитывается не календарный год, а фактический, то есть год с момента запуска программы.Стоит заметить, что переселять будут из тех многоквартирных домов, что были признаны аварийными в период с 1 января 2012 года по 1 января 2017-го. То есть жители, которые в последние два года получил заветную бумажку об аварийности дома, в программу НЕ ПОПАДАЮТ. Судя по официальному сайту реформы ЖКХ, за этот небольшой период «накопилось» ещё примерно 6 тысяч квадратных метров «аварийки». Это плюсом к 180 ещё 90 домов.

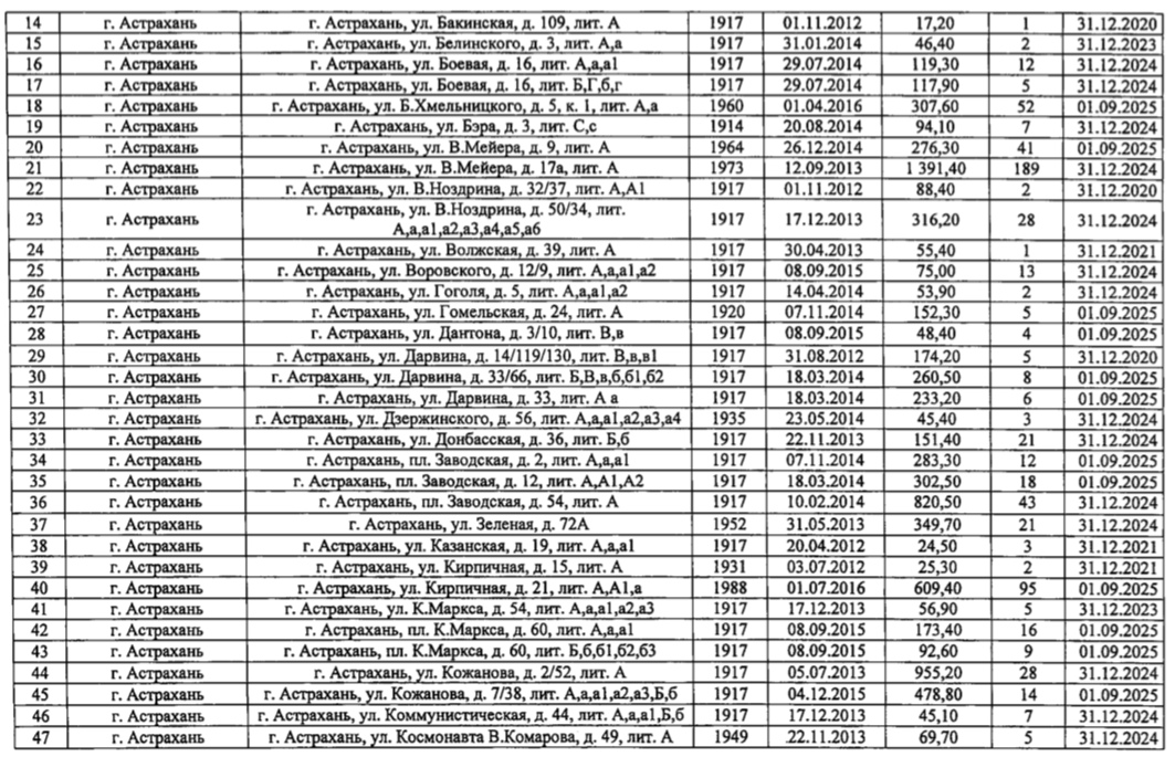
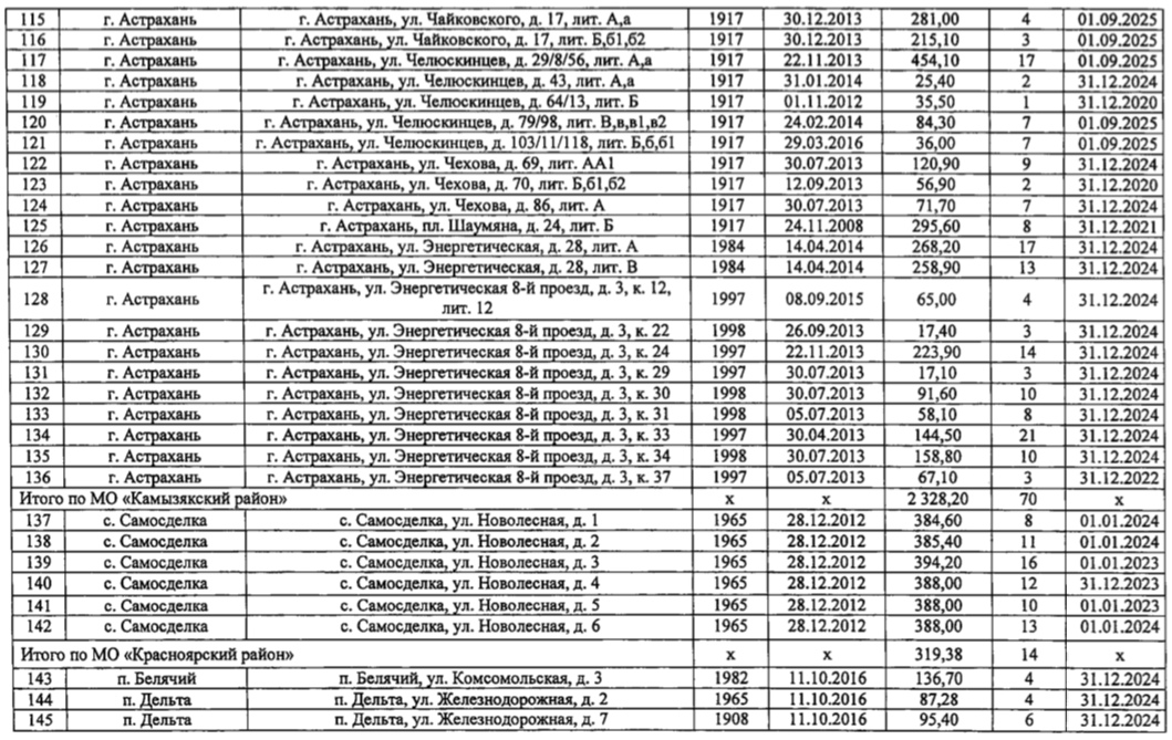
А теперь списки!
Итак, какие же адреса попадают под действие программы. Вот они (осторожно, многабукф!):






















